關於色差的表達公式
目前最常見的色差公式為(wei) △E*ab.其實質上就是兩(liang) 點顏色在空間中的距離大小,比較簡單易懂。另外還有△E94.△EOO等新公式,分別對一些參數做了修正,能更好地和人眼視覺感官匹配。
△E*ab.色差表達公式
Lab顏色標尺按如下標識:
L(亮度)軸表示黑白,0為(wei) 黑,100為(wei) 白
A(紅綠)軸正值為(wei) 紅,負值為(wei) 綠,0為(wei) 中性色
B(黃藍)軸正值為(wei) 黃,負值為(wei) 藍,0為(wei) 中性色
所有的顏色都可以通過任何種Lab標尺被感知並測量。這些標尺也可以用來表示標樣同試樣的色差,並通常有△為(wei) 標識符。
如果△ L為(wei) 正,說明試樣比標樣淺,如果△L為(wei) 負,說明試樣比標樣深。
如果△a為(wei) 正,說明試樣比標樣紅(或者少綠),如果為(wei) 負,說明試樣綠(或者少紅)
如果△b為(wei) 正,說明試樣比標樣黃(或者少藍),如果為(wei) 負,說明試樣藍(或這少黃)
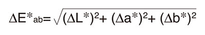
L,a,b顏色差異還可以通過個(ge) 單獨的色差符號△E來表示出來,△E被定義(yi) 為(wei) 樣品的總色差,但不能表示出樣品的色差的偏移方向,△E數值越大,說明色差越大,它通過下麵公式計算得來:


該色差公式由Klaus Richter 提出,它建立在一個(ge) 修正過的色空間基礎上,以考慮CIE1978 年對CIELAB 色空間豔黃和豔紅區域的修正。同時K. Richter 也認為(wei) ,從(cong) 標準化的角度考慮,對於(yu) 不同的應用領域同時推薦兩(liang) 個(ge) 色差公式是不恰當的。而LABHNU 色差公式具備了CIELAB 和CIELUV 色差公式的性質,可適用於(yu) 不同的應用領域。
