PCM相變材料的應用-建築

除了高穩定性外,PCM微膠囊由於(yu) 其高儲(chu) 熱容量而越來越受歡迎。
差示掃描量熱法(DSC)用於(yu) 分析純PCM和微膠囊的熱性能。
DSC熱圖由吸熱曲線和放熱曲線組成,其中包含熱特性的關(guan) 鍵信息,如熔融和結晶過程的起始溫度和峰值溫度或DSC冷卻和加熱運行的焓。
由於(yu) 殼材料具有較低的潛熱儲(chu) 存容量,PCM微膠囊的總熱容明顯低於(yu) 純PCM。在外殼上實施隔熱、幾何約束或無成核劑都會(hui) 導致過冷,即起始相變溫度的變化。過冷將導致更長的熱放電時間,並對PCM微膠囊的整體(ti) 熱性能產(chan) 生顯著影響[122]。為(wei) 了抑製這種現象,Wu等人將1-十四醇和對苯二甲酸乙二醇添加到油相中n-octadecane@polyureamicrocapsules作為(wei) 成核劑[123]。然而,當1-十四醇從(cong) 8.3重量%增加到12.5重量%時,過冷度進一步增加,並且包封到芯材料中的對苯二甲酸有助於(yu) 促進正十八烷三斜晶的形成。研究表明,對苯二甲酸對正十八烷的結晶有積極影響。Chen等人通過將烷基化石墨烯添加到芯材料中,成功地抑製了正十八烷/三聚氰胺甲醛微膠囊的過冷[124]。這是因為(wei) 添加的烷基化萘在一定程度上促進了芯材的結晶,增強了非均相核化和熱傳(chuan) 遞。
PCM微膠囊通常暴露於(yu) 極端環境中,尤其是高溫,這會(hui) 導致嚴(yan) 重的熱降解。
熱穩定性用於(yu) 描述CMS微膠囊的耐熱分解性。
熱重分析(TGA)用於(yu) 測試熱穩定性,方法是以很小的間隔將溫度升高一個(ge) 非常穩定的步驟,同時測量樣品的重量損失。
TGA曲線顯示重量比隨溫度變化。
Jiang等人研究了基於(yu) 含納米氧化鋁(納米Al2O3)的對位蠟核和P(MMA-co-MA)殼的PCM微膠囊的熱性能[125]。芯材paraffin在159.88°C的起始溫度下降解,在200°C下保持約20.63重量%。230°C下幾乎沒有焦炭。P(MMA-co-MA)殼在342.3°C下也呈現一步降解,失重率很低,在450°C左右完全分解。當將多氯聯苯包封在殼中時,它們(men) 表現出三步降解。第一階段是從(cong) 150°C左右開始,泄漏芯材從(cong) 破損外殼中蒸發出來。第二階段歸因於(yu) 微膠囊內(nei) 部的多氯聯苯在230℃左右完全蒸發。最後,在350℃左右,P(MMA-co-MA)殼發生裂解,產(chan) 物徹底分解。第二階段起始溫度的升高表明了殼的保護作用,這增強了核心材料的熱穩定性。
通過使PCM微膠囊經受大量重複的相變循環,並在多次熔融和結晶循環後,改變儲(chu) 熱能力(通過DSC)、熱穩定性(通過TGA)、化學表征(通過FTIR(傅裏葉變換紅外光譜技術的進步)),定性分析熱可靠性,等等被檢測到。
Zhang等人對相變循環進行了100圈掃描[101]。DSC熱譜圖中的所有曲線與(yu) 第一個(ge) 回路的一致性令人驚訝。在100次循環後,熔融峰、結晶峰和起始點保持穩定,峰值溫度僅(jin) 在0.5°C範圍內(nei) 顯示最小偏差。Liu等人研究了具有十二醇核和三聚氰胺甲醛(MF)樹脂殼的微膠囊的可靠性[126]。安永獲得了25、50、75和100次相變循環後MEPCM/GO CNT的DSCCurve,與(yu) 第一次相比差異不大。其他著作[67127]也得出了類似的結論。比較兩(liang) 種光譜發現,特征峰的頻率值沒有變化,這表明微膠囊的化學結構不受熱循環的影響。
在穩態條件下,材料的導熱性定義(yi) 為(wei) 單位溫度梯度下通過單位橫截麵積的熱流。較高的導熱率可以提供更快的熱傳(chuan) 遞速率,這對於(yu) 許多應用非常重要。通過增加導熱係數,可以提高能量儲(chu) 存和釋放效率。由於(yu) 微膠囊的尺寸較小,很難直接測量單個(ge) 微膠囊的熱導率。
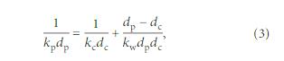
提出了計算單個(ge) 微膠囊電導率的理論,其中(dc/dp)3?ρs/ρs+yρckp,kc,和Kw分別表示單個(ge) 微膠囊、芯材料和殼材料的熱導率,Dp是微膠囊顆粒的直徑,Dc是芯的直徑。然而,在實際應用中,多微膠囊的導熱性能更為(wei) 關(guan) 鍵。在美國,熱導率通常在大體(ti) 積微膠囊中進行分析。可以通過將微膠囊置於(yu) 兩(liang) 個(ge) 板之間,加熱流過樣品來近似實現。通過建立軸向溫度梯度,基於(yu) 熱平衡條件下熱流傳(chuan) 感器的熱輸出測量溫差。方程如下


其中θ是熱量,χ是導熱係數,Ais是表麵ea,his是樣品的厚度,t1和t2是兩(liang) 個(ge) 表麵的溫度。為(wei) 了提高微膠囊的導熱性,研究人員通常直接在微膠囊的芯或殼中添加具有高導熱性的外部材料,如石墨、碳納米管和納米金屬。Li等人通過接枝硬脂酰(a)(b)(c)(d)改善了碳納米管與(yu) 核心材料的相容性。

圖5:微膠囊的圖像:(a)表麵光滑致密,有缺陷,(b)粗糙多孔,(c)殼厚度,以及(d)規則球形結構。
將乙醇(SA)塗覆到碳納米管上,然後用三聚氰胺樹脂塗覆PCMS[130]。結果表明,碳納米管的加入改善了微膠囊的性能,微膠囊的熱導率提高了79.2%。Wang等人采用相同的方法獲得了具有不同高熱傳(chuan) 導率的對位/碳酸鈣微膠囊的熱導率[131]。對於(yu) 不同濃度的石墨(FG)、膨脹石墨(EG)和石墨納米片(GNS),結果顯示熱導率顯著提高。當相變複合材料含有20wt.%GNS時,它們(men) 可以形成穩定且致密的熱導率網絡,熱導率為(wei) 25.81Wm?1K?1,是純石蠟的70倍。Jiang等人[83]製備了微膠囊,其中對苯二甲酸乙二醇酯作為(wei) 相變材料,聚甲基丙烯酸甲酯作為(wei) 壁材料,然後將納米Al2O3嵌入壁材料[125]。單體(ti) 質量分數為(wei) 16%的納米Al2O3微膠囊性能較好,其焓和熱導率為(wei) 93.41 Jg?1和0.31 Wm?1K?1、分別。Sarier等人分別用脲醛樹脂塗覆正十八烷和正十六烷芯材,然後將還原的納米銀顆粒添加到壁材中,以製備PCMs微膠囊[132]。與(yu) 純脲醛樹脂壁材微膠囊相比,由納米銀顆粒改性的微膠囊具有更高的導熱性。不同方法改性的微膠囊具有更好的導熱性,並改善了熱調節性能。