在單軸拉伸流動中測量了三種選定的商用低密度聚乙烯(LDPE)的非線性流變性能。使用三種不同的設備進行測量,包括拉伸粘度裝置(EVF),自製長絲(si) 拉伸流變儀(yi) (DTU-FSR)和商用長絲(si) 拉伸流變儀(yi) (VADER-1000)。通過測試顯示,EVF的測量結果受到最大Hencky應變4的限製,而兩(liang) 個(ge) 長絲(si) 拉伸流變儀(yi) 能夠在達到穩態的更大Hencky應變值下探測非線性行為(wei) 。利用長絲(si) 拉伸流變儀(yi) 的能力,我們(men) 表明具有明顯差異的線性粘彈性的低密度聚乙烯可以具有非常相似的穩定拉伸粘度。這表明有可能在一定的速率範圍內(nei) 獨立控製剪切和拉伸流變。
拉伸流變;聚乙烯;聚合物熔體(ti) ;非線性粘彈性
多年來,控製聚合物流體(ti) 的流變行為(wei) 作為(wei) 分子化學的一個(ge) 性能,引起了學術界和工業(ye) 界的極大興(xing) 趣。
最成功和最多產(chan) 的理論預測的流變行為(wei) 的糾纏聚合物係統是De Gennes(1971)和Doi和Edwards(1986)提出的 "管模型"。然而,盡管三十年來人們(men) 一直在努力改進管模型,但即使對於(yu) 最簡單的情況,即單分散線性聚合物體(ti) 係,纏結聚合物在拉伸流動中的非線性流變行為(wei) 仍然沒有得到充分理解(Huang等人,2013a;Huang等人,2013b)。低密度聚乙烯等工業(ye) 聚合物是最複雜的纏結聚合物係統,它們(men) 不僅(jin) 具有高度的多分散性,而且還含有不同的支化分子結構。預測低密度聚乙烯的流變行為(wei) ,特別是拉伸流動中的非線性行為(wei) ,是非常具有挑戰性的。
在明確定義(yi) 的模型係統上,已經進行了探索延伸流中支化聚合物動力學的實驗工作(Nielsen等人,2006;Van Ruymbeke等人,2010;Lentzakis等人,2013)以及商業(ye) 聚合物係統,如低密度聚乙烯LDPEs。
有幾個(ge) 小組觀察到低密度聚乙烯LDPE的瞬時拉伸應力的最大值(Raible等人,1979;Meissner等人,1981;M¨unstedt和Laun,1981)。Rasmussen等人(2005年)首次報告了應力過衝(chong) 後的穩定應力,並通過比較長絲(si) 拉伸流變儀(yi) 和十字槽拉伸流變儀(yi) 的測量結果(Hoyle等人,2013年)以及比較恒定拉伸速率和恒定應力(蠕變)實驗(Alvarez等人,2013年)進行了實驗驗證。
已經開發了幾個(ge) 模型(Hoyle等人,2013;Wagner等人,1979;Hawke等人,2015),試圖了解應力過衝(chong) 背後的物理學。然而,這些模型都不能實際用於(yu) 預測工業(ye) 中低密度聚乙烯LDPE的流變行為(wei) ,因為(wei) 這些模型包含許多與(yu) 分子結構沒有直接關(guan) 係的擬合參數。
最近,Read等人(2011)提出了一個(ge) 預測方案,能夠計算隨機長鏈支化聚合物熔體(ti) 的線性和非線性粘彈性,作為(wei) 其形成的化學動力學的函數。這些預測似乎與(yu) 剪切流和拉伸流中三個(ge) 低密度聚乙烯的測量結果非常一致。然而,測得的拉伸數據受到最大Hencky應變約為(wei) 3.5的限製,並且沒有顯示出穩定狀態的跡象,而模擬結果則達到了更大的 Hencky應變值,並預測了每個(ge) 應變速率的穩定應力。在更大的Hencky應變值下預測非線性行為(wei) 的質量仍然是未知的。此外,在Read等人(2011)的模擬中,沒有預測到應力過衝(chong) 。
在這項工作中,我們(men) 介紹了三種不同的商用低密度聚乙烯的拉伸測量。這三種低密度聚乙烯是根據Read等人(2011)的模型預測而專(zhuan) 門設計的。預計它們(men) 具有不同的零剪切速率粘度,但在非線性拉伸流動的大變形中具有相似的應力-應變反應。測量是在三個(ge) 不同的設備上進行的,包括兩(liang) 個(ge) 長絲(si) 拉伸流變儀(yi) 和一個(ge) 拉伸粘度夾具。我們(men) 表明,長絲(si) 拉伸流變儀(yi) 的測量結果可以達到5以上的大Hencky應變值,在那裏達到非線性穩定狀態。我們(men) 還表明,低密度聚乙烯LDPE樣品在拉伸流動中的大Hencky應變值具有相似的非線性行為(wei) ,包括相同的應力過衝(chong) 幅度和過衝(chong) 後的相同穩定應力,盡管Read模型預測沒有應力過衝(chong) 現象。這些結果表明,低密度聚乙烯LDPE熔體(ti) 的非線性粘彈性可以通過選擇性聚合方案來控製。
材料
陶氏化學公司提供了三種類型的商用低密度聚乙烯樹脂,分別為(wei) PE-A、PE-B和PE-C。所有樣品都是顆粒狀的。表1總結了樣品的特性,包括密度、熔體(ti) 流動指數(I2)、重量-平均摩爾質量(Mw)、數量-平均摩爾質量(Mn)和熔體(ti) 強度。重量-平均摩爾質量是由多角度激光散射法確定的,而數量-平均摩爾質量是由微分折射率確定的。摩爾質量值是若幹次重複的平均數。熔體(ti) 強度是用通用流變儀(yi) 結合通用ALR-MBR 71.92擠出機測量的。測量是在150℃下進行的,產(chan) 量為(wei) 600g/h。模具的長度為(wei) 30毫米,直徑為(wei) 2.5毫米。

實驗是在24mm/s2的加速度下進行的。紡絲(si) 線的長度被設定為(wei) 100毫米。流變儀(yi) 測試在膜生物反應器擠出機係統清掃30分鍾後進行,並一直運行到紡絲(si) 線失效。通過力-拉速數據擬合出一個(ge) 四參數交叉函數,根據擬合的破壞速度曲線確定破壞時的力。表中的數據是五次連續測量的平均數。
力學譜
三種低密度聚乙烯樣品的線性粘彈性(LVE)特性是通過小振幅振蕩剪切(SAOS)測量得到的。TA儀(yi) 器公司的ARES-G2流變儀(yi) 采用25毫米的板-板幾何形狀。

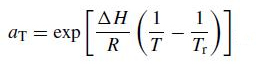
圖1所有樣品的時間-溫度偏移因子αT作為(wei) 溫度的函數,參考溫度為(wei) Tr= 150℃
測量是在氮氣中,在130℃和190℃之間的不同溫度下進行的。對於(yu) 每個(ge) 樣品,使用時間-溫度疊加(TTS)程序,在參考溫度Tr= 150℃時,數據被移動到單個(ge) 主曲線。所有樣品的時間-溫度偏移係數(αT)與(yu) 單一的阿倫(lun) 尼烏(wu) 斯公式一致,其形式為(wei)

其中活化能∆H = 65 kJ/mol。R是氣體(ti) 常數,T是以開爾文表示的溫度。在圖1中,偏移因子αT被繪製為(wei) 溫度的函數。
拉伸應力測量
拉伸應力測量使用三種不同的設備:TA儀(yi) 器的延伸粘度夾具(EVF)、自製的長絲(si) 拉伸流變儀(yi) (DTU-FSR)(Bach等人,2003a)和Rheo Filament的商用長絲(si) 拉伸流變儀(yi) (VADER-1000)。將不同設備的結果進行相互比較。
用於(yu) EVF測量的樣品在150℃下壓縮成型,在低壓10bar下3分鍾,在高壓150bar下1分鍾,然後用淬火冷卻盒在150bar下淬火冷卻到室溫。在短時間內(nei) ,當冷卻盒插入時,樣品會(hui) 出現壓力損失。在相對較低的溫度下進行短時間的壓縮成型是為(wei) 了防止樣品的任何潛在氧化或降解。樣品模具為(wei) 特氟隆塗層,尺寸為(wei) 100×100 0.5mm。從(cong) 約20mm長的銘牌上衝(chong) 壓出12.7mm-12.8mm寬的樣品。最終樣品的厚度約為(wei) 0.6mm。在EVF測量中,樣品被插入設備中,在150℃下180s的平衡時間後,樣品以0.005s-1的應變速率被預拉伸15.44s,然後鬆弛80s,然後樣品被拉伸。報告的Hencky應變是由圓柱體(ti) 的旋轉計算出來的。
通常情況下,使用EVF的拉伸測量僅(jin) 限於(yu) 樣品保持均勻的情況。EVF一次旋轉所能達到的Hencky應變值通常低於(yu) 4,與(yu) EVF相比,長絲(si) 拉伸儀(yi) 器並不依賴於(yu) 沿拉伸方向的均勻變形的假設。事實上,由於(yu) 板材上的無滑移條件,變形在軸向上是不均勻的。這些設備隻是探測了通常在中間細絲(si) 平麵發現的最小直徑平麵內(nei) 的變形和應力之間的關(guan) 係。在這個(ge) 平麵外的剩餘(yu) 材料隻需要固定在研究的薄片上,就像在固體(ti) 力學測試中用狗骨形狀來固定材料一樣。長絲(si) 拉伸裝置確實依賴於(yu) 最小直徑平麵內(nei) 的徑向均勻變形的假設。Kolte等人(1997年)的模擬表明,在長絲(si) 中間平麵幾乎沒有任何徑向應力變化。用激光測微計來測量中絲(si) 薄片的直徑。為(wei) 了探索更高的應變,在DTU-FSR和VADER 1000流變儀(yi) 都采用了在線控製方案,該方案首先由Bach等人(2003b)使用,後來由Mar´ın等人(2013)發表,用於(yu) 在拉伸過程中控製長絲(si) 中平麵的直徑,以便在樣品斷裂前確保恒定的應變速率。根據樣品的類型,DTU-FSR和VADER-1000都可以達到最大Hencky應變值7。
在長絲(si) 拉伸流變儀(yi) 上進行測量之前,樣品被熱壓成半徑為(wei) R0、長度為(wei) L0的圓柱形試樣。長寬比定義(yi) 為(wei) ∆0= L0/R0。樣品在150℃下壓製,並在相同溫度下退火10分鍾,然後冷卻至室溫。在測量中,所有樣品被加熱到150℃,在180s的平衡時間後,樣品在拉伸實驗之前被預拉伸到Rp的半徑。對於(yu) DTU-FSR,R0= 4.5mm,L0= 2.5mm,Rp在3到4.5mm之間,而對於(yu) VADER-1000,R0 = 3.0mm,L0= 1.5mm,Rp = 2.5mm。在拉伸測量過程中,力F(t)由稱重傳(chuan) 感器測量,中間燈絲(si) 平麵的直徑2R(t)由激光測微計測量。在拉伸流動開始的小變形時,由於(yu) 變形場中的剪切分量,部分應力差來自於(yu) 壓力的徑向變化。這種影響可以通過Rasmussen等人(2010)描述的校正因子來補償(chang) 。 對於(yu) 大應變,校正消失,對稱平麵中應力的徑向變化變得可以忽略不計(Kolte等人,1997)。對於(yu) 本工作中的所有樣本,當Hencky應變值大於(yu) 2時,校正值小於(yu) 4 %,Hencky應變和中絲(si) 平麵上應力差的平均值計算如下

其中mf是燈絲(si) 的重量,g是重力加速度。應變率定義(yi) 為(wei) ϵ•=dϵ/dt,拉伸應力增長係數定義(yi) 為(wei) η-+=〈σzz-σrr 〉/ϵ•
線性粘彈性

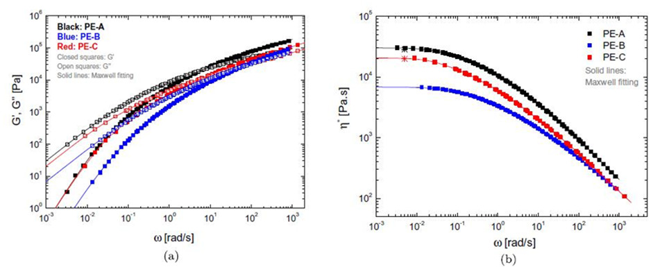
圖2(a)顯示了所有樣品在參考溫度150℃下的儲(chu) 能模量G’和損耗模量G”與(yu) 角頻率ω的函數關(guan) 係。(b)表示在150°C相應的複數粘度η*。圖中的兩(liang) 個(ge) 星號來自穩定剪切測量,在 150°C下剪切速率為(wei) 0.005 s-1
圖2(a)顯示了所有樣品在參考溫度150℃下的儲(chu) 能模量G’和損耗模量G”與(yu) 角頻率ω的函數關(guan) 係。相應的複數粘度η*繪製在圖2(b)中。圖中實線是多模麥克斯韋(multimode Maxwell fitting)擬合的結果。Maxwell relaxation modulus多模麥克斯韋弛豫模量G(t)由下式給出

其中gi和τi列於(yu) 表2。表中的零剪切速率粘度η0通過下式計算

在圖2(b)中,很明顯三個(ge) 樣品具有不同的零剪切速率粘度。然而,在圖2(a)、(b)中,似乎PE-C的線性行為(wei) 在較低頻率下接近PE-A,在較高頻率下與(yu) PE-B重疊。而且在ω> 1 rad/s時,PE-C的G′和G〃曲線幾乎與(yu) PE-A平行,垂直位移因子約為(wei) 0.6。

表2 LDPE 在 150°C 熔體(ti) 的線性粘彈性
啟動和穩定狀態下的拉伸流變
圖3(a)顯示了PE-A在150℃時的拉伸應力增長係數與(yu) 時間的關(guan) 係。圖中比較了EVF、DTU-FSR和VADER-1000的測量值。圖中的虛線是根據表2中列出的麥克斯韋弛豫譜計算的LVE包絡線。EVF的測量值受到最大Hencky應變4的限製,在圖3(b)中可以清楚地看到。其中測量的應力是作為(wei) Hencky應變的函數繪製的。兩(liang) 個(ge) 長絲(si) 拉伸流變儀(yi) 的測量值能夠達到大於(yu) 5的較大Hencky應變值,在該值下觀察到穩定的應力。

圖3
我們(men) 注意到EVF和長絲(si) 拉伸測量之間存在明顯的偏差。我們(men) 認為(wei) EVF測量的應力太低,特別是在低應變率下,Hoyle等人(2013)也觀察到這一點,他們(men) 將長絲(si) 拉伸測量值與(yu) Sentmanat拉伸流變儀(yi) 測量值進行了比較。因此,對於(yu) 圖3(b)中的ϵ•=0.01 s-1,已經與(yu) ϵ•=0.5有偏差,而對於(yu) ϵ•=2.5 s-1,EVF測量與(yu) DTU-FSR測量一致,最高ϵ•為(wei) 3.5。請記住,在EVF中,隻有橫截麵的初始麵積是已知的;在拉伸過程中橫截麵麵積的變化不是測量的,而是由一個(ge) 假設均勻單軸拉伸速率不變的方程計算出來的。
此外,在EVF測量中,樣品寬度為(wei) 12.8mm略微超過了Yu等人(2010)建議的12.7mm的上限,這導致在更大的Hencky應變值下的平麵延伸而不是單軸延伸。相比之下在DTU-FSR和VADER-1000中,中間直徑一直被測量,因此在拉伸過程中橫截麵的實際麵積是已知的,由此計算出中間細絲(si) 平麵中的真實Hencky應變。
借助於(yu) 在線控製方案,在整個(ge) 測量過程中保證了單軸拉伸過程中恒定的Hencky應變率。來自DTU-FSR和VADER-1000的大Hencky應變值的數據由於(yu) 力小而有些分散。
此外,在拉伸速率超過0.4s-1時,使用DTU-FSR和VADER-1000進行的測量觀察到了應力過衝(chong) 的現象。由於(yu) 儀(yi) 器中采用的控製方案的限製,使用兩(liang) 個(ge) 長絲(si) 拉伸流變儀(yi) 進行測量的拉伸速率不超過2.5s-1。在長絲(si) 拉伸中,表麵張力可能對測量的應力有影響,尤其是在長絲(si) 中間平麵的半徑非常小,大的亨基應變值的時候。在所有的測量中,最小的半徑是R = 0.12mm。如果我們(men) 把低密度聚乙烯LDPE的表麵張力γ = 0.03 J/m2,表麵張力效應產(chan) 生的最大應力是σsur =γ/R = 250Pa。在圖3(b)中,很明顯,對於(yu) 所有達到Hencky應變大於(yu) 4的測量,測量的應力高於(yu) 104Pa。因此可以忽略表麵張力效應。

圖4
圖4顯示了PE-C在150℃時拉伸應力增長係數與(yu) 時間的函數關(guan) 係。DTU-FSR和VADER-1000的測量結果非常一致。在0.15和2.5s-1之間的中間拉伸速率下,EVF的測量值與(yu) DTUFSR一致。拉伸速率低於(yu) 0.1s-1時,偏差越來越大。根據DTU-FSR和VADER-1000的測量,在拉伸速率快於(yu) 0.4s-1時,再次觀察到應力過衝(chong) 。

圖5
圖5比較了DTU-FSR測量的拉伸流動中PE-A和PE-C的非線性行為(wei) 。如圖2所示,PE-A和PE-C具有不同的線性粘彈性,這也由圖5(a)中不同的LVE包絡表示。在拉伸流的啟動過程中,PE-A和PE-C也有不同的非線性反應。從(cong) 圖5a中可以清楚地看出,在所有拉伸速率下,PE-C 比 PE-A 有更明顯的應變硬化。然而,在圖5(a)、(b)中,有趣的是,盡管PE-A和PE-C最初有不同的非線性行為(wei) ,但是它們(men) 在更大的Hencky應變值下具有相同的反應,並且在每個(ge) 應變速率達到相同的拉伸穩態粘度,如圖6所示。圖6還顯示在快速應變率下,拉伸穩態粘度表現出冪律行為(wei) ,粘度比例約為(wei) ε•-0.6,這與(yu) Rasmussen等人(2005)和Alvarez等人(2013)的觀察結果一致。應該注意的是,如圖5(b)所示,相同的非線性行為(wei) 僅(jin) 在Hencky應變值大於(yu) 4時觀察到,這一點無法通過EVF測量。

圖6
圖7(a)比較了PE-B與(yu) PE-C在150℃時的拉伸應力增長係數。在所提出的速率下,PE-B沒有顯示任何應力過衝(chong) 。盡管PE-B和PE-C在線性和非線性流變學方麵的表現不同,但在每種拉伸速率下,它們(men) 的相對應變硬化量似乎是相似的。在圖7(b)中可以更清楚地看到這一點。圖7(b)中比較了Trouton比率。Trouton 比值定義(yi) 為(wei) Tr = η-+ /η0,其中η0是零剪切率粘度,其數值列於(yu) 表2。可以看出,在每個(ge) 拉伸速率下,PE-B達到與(yu) PE-C相同的最大Trouton比率,證實它們(men) 具有相同的相對應變硬化量。

圖7
我們(men) 使用三種不同的設備測量了三種商用低密度聚乙烯樣品的拉伸流變性能。這三種設備在拉伸流變的啟動方麵給出了一致的結果。然而,EVF的測量結果受到最大Hencky應變4的限製,而兩(liang) 個(ge) 長絲(si) 拉伸流變儀(yi) 達到了更大的Hencky應變值,在這裏可以觀察到應力過衝(chong) 和穩態粘度。此外,EVF的測量僅(jin) 在取決(jue) 於(yu) 應變速率的應變範圍內(nei) 跟隨長絲(si) 拉伸測量。盡管三種低密度聚乙烯樣品具有不同的線性粘彈性能,但已經表明,PE-A和PE-C在Hencky應變值大於(yu) 4時具有非常相似的非線性rhelogical行為(wei) ,而PE-B和PE-C具有相同的相對應變硬化量。上述結果表明,工業(ye) 低密度聚乙烯的非線性流變性可以通過聚合來調整。特別是,有可能合成一種聚合物(PE-C),其具有比參考聚合物(PE-A)低得多的粘彈性模量,但仍具有與(yu) 參考聚合物相同的拉伸粘度。
原文:A new look at extensional rheology of low-density polyethylene
論文號:Rheol Acta (2016) 55:343–350 DOI 10.1007/s00397-016-0921-z
作者:Qian Huang · Marc Mangnus · Nicolas J. Alvarez · Rudy Koopmans · Ole Hassager
與(yu) 本文關(guan) 聯的產(chan) 品:
