





丹麥RHEO FILAMENT公司研發的多功能精確變形拉伸流變儀(yi) VADER 1000提供行業(ye) 先進的精度、測量範圍,功能和性能,適用於(yu) 塑料行業(ye) 的研發。獨特的設計確保每次樣品均質、單軸變形。
丹麥RHEO FILAMENT公司研發的多功能精確變形拉伸流變儀(yi) VADER 1000提供行業(ye) 先進的精度、測量範圍,功能和性能。獨特的設計確保每次樣品均質、單軸變形,適用於(yu) 塑料行業(ye) 的研發。多功能精確變形拉伸流變儀(yi) 確保用戶樣品不會(hui) 滑動,在實驗期間保持恒定的應變率或應力,並確保對收集的數據有充分的信心。
經過多年的研究和開發,多功能拉伸流變儀(yi) VADER 1000將以前僅(jin) 在學術實驗室中發現的研究級方法集成到用戶友好、堅固且多功能的台式設備中,使測量材料的線性和非線性特性變得簡單易行。此外多功能拉伸流變儀(yi) VADER 1000還提供多種附件以滿足您苛刻的測試條件和樣品要求。

丹麥RHEO FILAMENT公司研發的拉伸流變儀(yi) 廣泛運用在高分子物理和化學國家重點實驗室、大學高校研究所和化工行業(ye) 研發公司中,在研究聚合物熔體(ti) 和溶液的拉伸流變性上發揮重要作用,如下:

①VADER 1000拉伸最大形變(SER)可以達到7,其它品牌是4。這是指數級的變化,即是E4和E7的區別。
因為(wei) 塑膠有些性能要在很大形變下才能看到,所以位伸形變的上限範圍很重要。
②在拉伸測量中,VADER 1000有激光監測樣品的形態變化狀態,其它品牌沒有這個(ge) 監測,隻是用勻速轉動默認樣品的形態已達到設定的樣子。
③VADER 1000在樣品鬆弛時也可以測量,因為(wei) 儀(yi) 器的上板可以向下壓或者回轉。其它品牌在樣品鬆弛時會(hui) 斷掉。
④VADER 1000可以獨立使用,無需外部的旋轉流變儀(yi) 等配合。
⑤熔體(ti) 強度Melt strength這個(ge) 參數在商業(ye) 上較通用,但實際上不能反映樣品真實性能。
舉(ju) 例:
下麵這兩(liang) 個(ge) 聚乙烯樣品A和C,熔體(ti) 強度melt strength是不一樣的(圖1)。但是如果不測拉伸黏度的話,實驗人員不知道他們(men) 的拉伸黏度其實是一樣的(圖2,不同拉伸速率下的穩態拉伸黏度)。

下圖a是不同拉伸速率下的瞬態黏度。C的0剪切黏度低,但是拉伸中應變硬化強,所以能達到相同拉伸黏度。圖b是不同速率下的應力應變曲線,應變4那裏有條虛線,是其他儀(yi) 器能測到的地方。

應變4以後才能證實他們(men) 的拉伸應力是一樣的,應變4以前隻能看到這個(ge) 趨勢。而且兩(liang) 個(ge) 圖裏麵那個(ge) “overshoot”,應變4以前看不到,實驗人員會(hui) 以為(wei) 應力隨應變單調增加,但實際並不是。
流變學是研究材料如何在明確定義(yi) 的應力或使材料變形到規定量所需的應力下變形。流變學研究中有兩(liang) 種基本流動變形場:簡單剪切和單軸延伸。流場的簡單性使得分析確定諸如粘度、模量、弛豫時間等材料參數變得容易。
簡單剪切和單軸拉伸有著根本性區別。在剪切過程中,材料的橫截麵積在流動的情況下是固定的,而典型的拉伸流動會(hui) 引起材料的橫截麵積隨時間的變化。因此,應變和應力的定義(yi) 要求精準測量力和橫截麵積。
拉伸流變儀(yi) VADER 1000的工作原理是長絲(si) 拉伸流變學,其中應變和應力的測量需要精確力和橫截麵積的測量。應變和應力由以下公式給出:

長絲(si) 拉伸流變儀(yi) 與(yu) 其他拉伸技術不同的一個(ge) 特點是,測量是在一個(ge) 點上進行的。這與(yu) 剪切流變相反,剪切流變計算的是樣品板橫截麵積上的應力。
在長絲(si) 拉伸流變儀(yi) 中,測量是在直徑最小的位置(最大應力)進行的,通常位於(yu) 長絲(si) 中間位置。

(1)快速主動原位控製方案適用四大不同拉伸測試
軟質材料在拉伸流動中的變形是不可預測的。因此,為(wei) 了施加恒定的應力和/或恒定的速率,需要一個(ge) 快速的原位控製方案來決(jue) 定如何拉動樣品並保持適當的設定點。Rheo Filament花了多年時間開發了一種高效的、正在申請專(zhuan) 利的控製方案,可用於(yu) 各種不同的測試方案。
先進具有主動控製功能的長絲(si) 拉伸流變儀(yi) 適用於(yu) 以下測試:

☛恒定應變速率測試Constant Strain Rate
恒速拉伸流動對應於(yu) 一種變形,其中Hencky strain(亨基應變)根據ξ=ξt隨時間線性增加,其中ξ是Hencky應變速率。恒定速率的拉伸流動將導致材料發生非常大的變形,並且通常會(hui) 帶來小振幅振蕩中沒有顯現的材料特征。恒速拉伸流動經常被用來測試聚合物係統非線性行為(wei) 的連續體(ti) 或分子模型的預測。
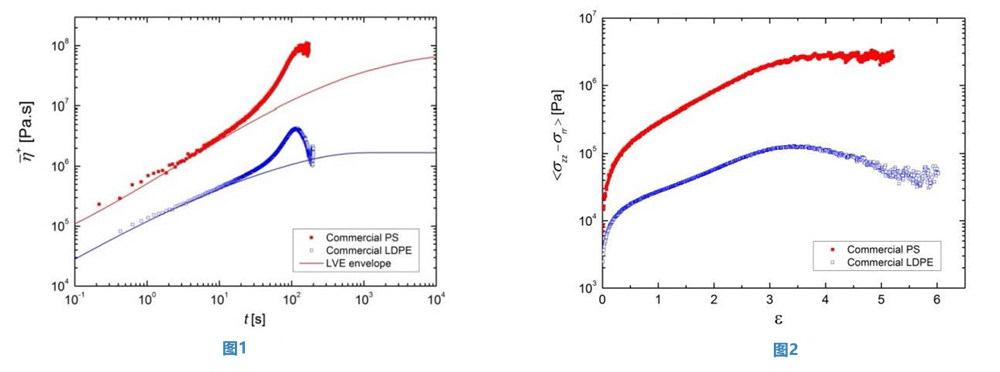
在拉伸流變中,聚合物熔體(ti) 和溶液通常會(hui) 發生應變硬化,這由應力隨時間的向上偏離線性預測來。圖1中可以清楚地看到。

線性商用聚苯乙烯(紅色)和支化低密度聚苯乙烯(藍色)的拉伸應力增長係數(應力除以ξ)與(yu) 時間的函數關(guan) 係(在150℃)。細線是對線性粘彈性的預測。線性熔體(ti) 表現出單調的穩定拉伸流動,而支化聚合物在達到穩定狀態前表現出應力過大。
圖2為(wei) 圖1中所示的相同數據的拉伸應力繪製成Hencky應變的函數。當以這種方式繪製時,可以更明顯地觀察到穩定狀態。
這種類型的實驗的典型數據收集作為(wei) 應變率函數的穩態拉伸粘度。
☛恒定應力/蠕變測試Constant Stress/Creep
在蠕變試驗中,在時間t=0時施加恒定的拉伸應力σ↓0,隨後的Hencky 應變隨時間變化而變化。拉伸蠕變柔量定義(yi) 為(wei) J↑Ε(t)=ξ(t)/σ↓0 ,大的蠕變柔量表示軟材料,而小的蠕變柔量表示硬材料。對於(yu) 粘彈性液體(ti) ,蠕變柔量最終隨時間線性增加,斜率與(yu) 穩定拉伸粘度成反比。

圖3:聚甲基丙烯酸甲酯基共聚物的拉伸應力與(yu) 時間的關(guan) 係
圖4:聚甲基丙烯酸甲酯基共聚物在60℃下的蠕變柔量與(yu) 時間的關(guan) 係,其中紅線是小振幅振蕩的預測值
☛應力鬆弛測試Stress Relaxation/Recovery
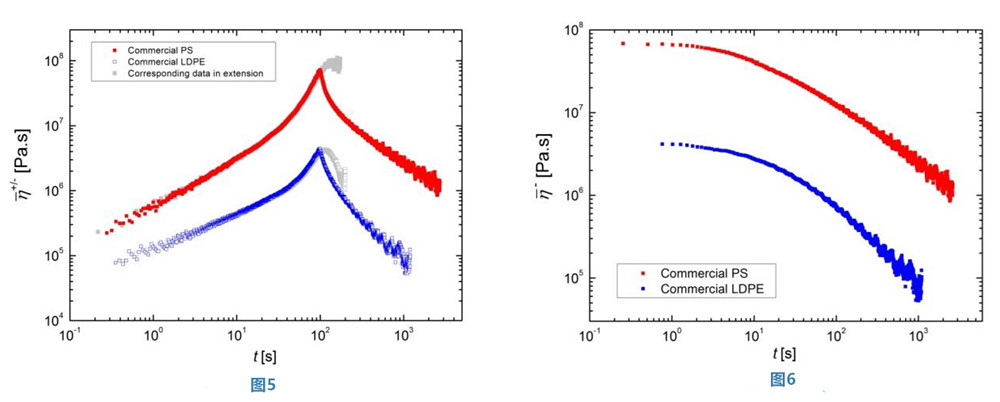
彈性材料在變形後保持其應力。相比之下,粘性流體(ti) (如水或甘油)在變形停止後立即放鬆應力。聚合物和軟質材料是粘彈性材料的例子,其應力在變形過程中逐漸衰減。VADER 1000提供了獨特的大拉伸變形後應力鬆弛的測量。這可用於(yu) 探測非線性體(ti) 係中的分子鬆弛時間。

圖5:應力除以穩定變形和隨後的應力鬆弛期間的拉伸率,其中:
紅色線:聚苯乙烯
藍色線:低密度聚乙烯
灰色線的數據對應的是樣品的完整延伸實驗
圖6:圖5的測量結果被轉移到流量停止的瞬間開始,在20年的時間裏,顯示了冪律鬆弛。
☛振蕩拉伸測試Oscillatory Extension
粘彈性材料在緩慢變形中表現出粘性反應,在快速變形中表現出彈性反應。小振幅的振蕩變形可用於(yu) 測量從(cong) 粘性反應到彈性反應的變化。在VADER 1000多功能拉伸流變儀(yi) 中,樣品板之間的材料在平均間距附近受到頻率為(wei) ω的小振幅振蕩變形。
圖7:用VADER 1000測量的聚苯乙烯的儲(chu) 存(G')和損耗(G'')模量與(yu) 頻率的關(guan) 係

如圖所示,板上的受力結果以儲(chu) 能模量G'和損耗模量G''表示。可以看出,對於(yu) 小頻率,G''>G',意味著材料對這種頻率的反應主要是粘性的。相反,對於(yu) 大頻率,G'>G'',這意味著彈性材料的反應。G'=G''的頻率被表示為(wei) 交叉頻率。這個(ge) 頻率的倒數可以作為(wei) 粘彈性材料的時間常數。
VADER 1000多功能拉伸流變儀(yi) 能夠進行多種不同的實驗組合,並且可以順序進行恒定應變-速率/蠕變/恒定力/應力鬆弛/樣品淬火/拉伸振蕩這6種不同的類型的實驗。
(2)溫度控製---溫度傳(chuan) 導箱
精準的、可重複的流變測量需要精確的溫度控製。VADER 1000拉伸流變儀(yi) 配備有三區傳(chuan) 導箱和可選的可對流烘箱。
☛ 三區溫度傳(chuan) 導箱

VADER 1000拉伸流變儀(yi) 配備了一個(ge) 三區傳(chuan) 導爐,以確保溫度的均勻性、穩定性和響應時間。溫度傳(chuan) 導箱采用空軍(jun) 級絕緣陶瓷以避免過多的熱量損失。烤箱安裝在一個(ge) 獨特的載玻片係統上,可以在不降低溫度的情況下,快速更換樣品。溫度傳(chuan) 導箱可以達到環境溫度和250℃之間,精確度為(wei) 0.1℃。窗口允許在拉伸之前、期間和之後方便地觀察樣品。加熱底板確保溫度均勻,並允許可選的惰性加熱氣體(ti) 通過可選的對流烘箱。
☛對流烘箱(根據需要選擇)
VADER 1000提供可根據需要選擇的對流烘箱,以減少加熱時間,確保整個(ge) 烤箱室溫度均勻,並通過使用惰性氣體(ti) 防止樣品在測試過程中降解。對流烘箱配有安全開關(guan) ,當傳(chuan) 導爐處於(yu) 上升位置時,安全開關(guan) 會(hui) 自動切斷氣流。所有連接都是不鏽鋼的,允許使用各種氣體(ti) 。
底部對流板允許惰性氣體(ti) 進入樣品室,防止氧化並確保溫度均勻。

☛樣品淬火
將感應溫度傳(chuan) 導箱從(cong) 樣品上快速移開,可使樣品的溫度迅速下降。對於(yu) 玻璃轉化溫度高於(yu) 環境溫度的樣品,這可以為(wei) 後期分析提供獨特的流動結構凍結,如光散射、中子散射、X射線散射等。
| 最小應力(取決於力傳感器範圍) | 15 Pa |
| 最大應力(取決於力傳感器範圍) | 1x1010 Pa |
| 最大Hencky應變(計算) | 9 |
| 最小應變速率(假設理想的軸向變形計算,根據樣品屬性可能降低速率) | 0.0001s-1 |
| 最大應變速率(考慮閉環控製,最大速率很大程度上取決於樣品性質,並且可能明顯低於報告值) | 5s-1 |
| 建議最小的樣品粘度(這是為了盡量減少表麵張力的影響,根據施加的速率,粘度可能更小) | 1000 Pa.s |
| 最小直徑 | 0.1mm |
| 最大直徑 | 10mm |
| 最小溫度 | 周圍環境溫度 |
| 最大溫度 | 250℃ |
| 氣流(可選氣體加熱器) | 5 L/min |
| 最小軸向速度 | 0.001mm/s |
| 最大軸向速度 | 600mm/s |
以下是使用拉伸流變儀(yi) VADER 1000發表的國際期刊論文文章(部分):【谘詢我們(men) 獲取完整論文目錄以及資料】


丹麥RHEO FILAMENT公司致力於(yu) 開發滿足工業(ye) 和研究實驗室的拉伸流變需求的儀(yi) 器,在拉伸流變領域擁有超過25年的經驗,且研發生產(chan) 的拉伸流變儀(yi) VADER 1000可以提供行業(ye) 先進的精度、測量範圍,功能和性能。
188博金宝下载官网是丹麥RHEO FILAMENT公司在中國的代理商,負責拉伸流變儀(yi) 在中國的銷售和技術谘詢,歡迎致電【13202947058】谘詢多功能精確拉伸流變儀(yi) VADER 1000產(chan) 品詳細信息。
想了解更多"拉伸流變儀(yi) VADER 1000"的信息,可通過或電話谘詢