有機太陽能電池(OSCs)在不同條件下的穩定性存在一些限製,因為(wei) 作為(wei) 活性層的有機材料在外部因素的影響下會(hui) 發生一些降解過程。由此產(chan) 生的降解會(hui) 改變光伏電池的物理特性,導致電池的電性能下降,如(PCE)、開路電壓(Voc)、短路電流密度(Jsc)和Fll因子(FF)。
1.材料
在這項研究中,我們(men) 使用了Infnity OPV製造商提供的有機太陽能電池的封裝樣品(80×110 mm2 尺寸) (圖1a),這些樣品是在常溫卷對卷(R2R)印刷中製備的。

圖1 a為(wei) 有機太陽能電池,b為(wei) 安裝在樣品架上的太陽能電池樣品,c為(wei) QUV樣品架背麵
表1:太陽能電池樣品參數

2.測試
QUV加速老化試驗箱可用於(yu) 不同的氣候條件下進行真實的老化,如紫外線照射、溫度、濕度、黑暗和噴淋。使用QUV電池在各種老化條件下進行了1080小時的長期老化實驗。電池樣品被放在如圖1b、c所示的樣品架上(樣品架的兩(liang) 個(ge) 麵),然後用UVA-340燈照射。UVA-340燈代表了接近真實太陽光的特性。OSC樣品被放置在QUV老化試驗箱中測試1080小時,一共45個(ge) 老化測試周期,測試紫外線照射、溫度、噴霧、冷凝和黑暗對太陽能電池的綜合影響。老化周期的持續時間為(wei) 24小時,分為(wei) 以下幾個(ge) 步驟:在第一步,樣品被紫外線照射8小時,試驗箱保持室溫在50℃。然後,噴淋樣品5分鍾,接著在50℃下冷凝樣品4小時(濕度產(chan) 生)。最後,樣品在黑暗中保持12小時(試驗室的溫度降低到30℃)。

圖2:UVA -340燈管波長
樣品的輻照是可控的,老化過程是在三個(ge) 水平的紫外線輻照下進行的(0.83 W/m2、1.20 W/m2和1.30 W/m2),溫度為(wei) 50℃。每個(ge) 案例的老化時間為(wei) 1080小時。每15個(ge) 周期後取下樣品並記錄其表征變化,以研究老化時間對OSC不同性能的影響。
1 導電性能的退化
所進行的QUV老化測試方案受到了同時存在的氣候條件的影響。它可以被認為(wei) 比苛刻的ISOS協議(ISOSL3)更有害。樣品的降解以快速的方式發生。
在每15個(ge) 測試周期(實際上是360小時)之後,記錄OSC的J-V特性,並在圖3a-c中顯示不同的紫外線照射劑量的情況。在老化測試之前,J-V特性呈現出OSC的典型特征,其不同的參數主要是最大功率點(MPP)。在不同的輻照劑量下老化後,曲線的形狀發生了變化,樣品的矯正性能完全喪(sang) 失。還可以觀察到Voc、Jsc和FF的明顯下降,這意味著OSC不同部分在QUV紫外老化箱中發生了嚴(yan) 重的批量退化,Benatto等人在ISOSD-3和ISOS-L-3老化條件下對PEDOT:PSS背電極樣品觀察到了同樣的行為(wei) ,Tromholt等人在研究溫度和太陽光濃度對有機光伏太陽能電池的影響時對PEDOT:PSS/Ag-grid背電極進行了觀察,結果相同。此外,眾(zhong) 所周知,OSCs的降解可以通過外在因素(如水和氧氣)和內(nei) 在因素(如高溫)進行監測。
與(yu) 高溫有關(guan) 的內(nei) 在因素被命名為(wei) OSCs層界麵上的熱擴散,可以導致BHJ內(nei) 部結構的形態演變。紫外光也會(hui) 加速降解。
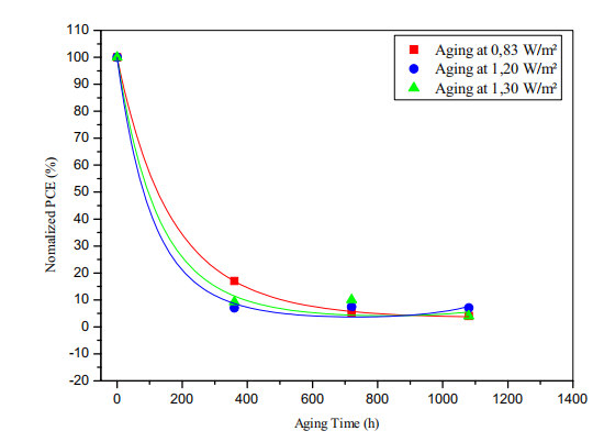
由於(yu) PCE呈現OSC的最重要特征,其隨老化時間的演變給出了OSC質量的良好圖像。對於(yu) 不同的紫外線照射濃度,根據老化時間的PCE的標準化值繪製在下圖中。非常清楚的是,對於(yu) 所有的紫外線照射濃度,PCE隨著老化時間的延長而降低。

PCE的下降遵循典型的OSCs退化曲線,通常經曆最初的快速老化階段,然後是更穩定的階段。此外,由於(yu) 開始時的快速老化速度,PCE的快速降低是在老化的第一個(ge) 15個(ge) 循環(老化的第一個(ge) 360小時)中完成的。在這個(ge) 階段,OSC幾乎喪(sang) 失了PCE特征。事實上,在QUV老化試驗箱中以0.83 W/m2老化的情況下 ,PCE從(cong) 100%下降到16%(即它損失了84%的 其初始值),並且在以1.2 W/m2和1.30 W/m2老化的情況下,它實際上損失了其初始值的93%。 OSCs性能的快速退化受到老化期間每個(ge) 樣品經曆的循環氣候條件(紫外線照射、噴霧、濕度和黑暗)的影響。接下來的30個(ge) 周期(剩餘(yu) 的720小時老化)的特征是PCE變化中的穩定階段。在此階段,PCE略有下降,在0.83 W/m2下老化720 h期間僅(jin) 下降12.3%。然而,在1.2 W/m2下老化的情況下,PCE值保持恒定,並且在整個(ge) 老化期間,在1.3 W/m2下老化的情況下呈現3.7%的輕微下降。
3.2氣泡缺陷的形成和顏色變化
另一個(ge) 方麵是隨著在QUV紫外老化試驗箱中進行老化測試時間的推移,OSCs產(chan) 生氣泡狀和顏色發生變化(下圖)。我們(men) 的結果證實了Benatto等人的一些早期發現,即研究不同老化方案對銀柵背電極模塊的影響。他們(men) 發現氣泡的形成隻發生在ISOSL-2和ISOS-L-3協議下。
與(yu) 其他老化測試方案相反,這兩(liang) 個(ge) 協議呈現了光照、濕度和溫度的影響,表明這三個(ge) 參數的存在是氣泡形成的主要原因。從(cong) 圖8中可以清楚地看出,對於(yu) 所有的紫外線輻射劑量,在第15次老化循環(第360小時)後,在以0.83 W/m2老化的情況下,出現了少量的氣泡,而在其它老化條件下,出現了更多的氣泡。
隨著老化測試時間的延長,氣泡的數量越來越多,尺寸越來越大,越來越深。此外,還已經注意到,在15次老化循環後,氣泡的形成在柵格周圍開始,並且在1080小時老化後,擴散到樣品的所有表麵上,尤其是在1.30 W/m2的UV輻射劑量下。氣泡周圍的區域變得不活躍,導致光電流部分減少,這是由Benatto等人用光束感應電流(LBIC)成像證實的。
