磷礦(磷酸鹽岩、磷礦石、磷灰石)是從(cong) 高磷粘土礦床中開采出來的,經過加工後可用於(yu) 製作肥料。在開采和加工過程中,測量和監測 P2O5 和 MgO 以及其他主要氧化物 CaO、Al2O3、SiO2 和 Fe2O3 的含量至關(guan) 重要,以確保產(chan) 品質量符合所需的物理和化學特性。
對於(yu) 磷礦元素分析,GB/T35996-2018《磷礦石和磷精礦中八種元素含量的快速測定 X 射線熒光光譜法》規定了使用X射線熒光光譜儀(yi) 測量磷礦石和磷精礦中的磷、鎂、鐵、鋁、矽、鈣、鉀、鈉八種元素的含量。
理學Rigaku X射線熒光光譜儀(yi) NEX QC+,配有觸摸屏操作,適合非技術操作員進行在線質量檢查,也適合 QA/QC 實驗室對元素進行分析。
下文使用理學Rigaku X射線熒光光譜儀(yi) NEX QC+展示了控製氧化物 P2O5 和 MgO 以及磷礦中其他主要氧化物的測量結果。

為(wei) 了進行演示,使用一組7種市麵上銷售的標準品進行經驗校準,其中兩(liang) 種校準標準是經過認證的參考材料。對硼酸進行測量,以產(chan) 生特殊的背景校正,自動補償(chang) 每個(ge) 測量樣品中的特定背景量。
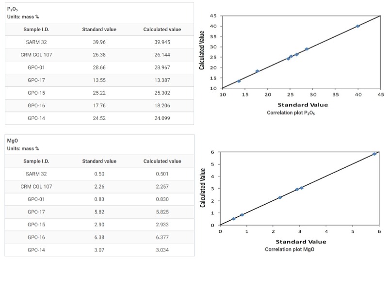
控製氧化物校正曲線

其他氧化物
| Oxide | Concentration range |
| CaO | 39 – 55% |
| Fe₂O₃ | 0.1 – 3.5% |
| Al₂O₃ | 0.05 – 1.8% |
| SiO₂ | 0.4 – 21% |
對每個(ge) 樣品在靜態位置進行十次重複檢驗,結果如下所示:

理學Rigaku X射線熒光光譜儀(yi) NEX QC+ 可以測量磷礦石中的 P?O?、MgO 和其他主要氧化物,具有良好的靈敏度和重複性,為(wei) 磷礦開采和加工提供了在線控製和質量檢查。
與(yu) 本文關(guan) 聯的產(chan) 品:



